Postingan Terbaru

Gunung Lewotobi Laki-laki Erupsi, Ribuan Penduduk Mengungsi

Gunung Lewotobi Laki-laki Erupsi, Ribuan Penduduk Mengungsi Gunung Lewotobi Laki-laki yang berada di Pulau Flores, Nusa Tenggara Timur, kembali mengalami peningkatan aktivitas vulkanik sejak akhir Maret 2025. Letusan yang terjadi pada 21 Maret memuntahkan kolom abu vulkanik setinggi lebih dari 8 kilometer. Akibatnya, status gunung tersebut dinaikkan ke level paling tinggi dan ribuan warga yang bermukim di sekitar lereng gunung terpaksa dievakuasi. Letusan ini merupakan bagian dari rangkaian aktivitas vulkanik yang sudah berlangsung sejak Desember 2023. Puncak letusan besar sempat terjadi pada awal November 2024 yang mengakibatkan korban jiwa sebanyak 10 orang, menghancurkan ribuan bangunan, dan membuat puluhan ribu warga harus mengungsi. Selain itu, abu vulkanik dari letusan tersebut juga berdampak pada penerbangan di Bali dan wilayah sekitarnya. Sebagai langkah antisipasi, pemerintah menetapkan zona larangan beraktivitas dalam radius 7 kilometer dari kawah. Otoritas setempat juga bere...

Bab 11 Statistika - Matematika Kelas 10 SMA/MA/SMK

Ringkasan Buku Sekolah
Kelas 10 (SMA / MA / SMK)
MATEMATIKA
Bab 11 Statistika


Latihan Soal dan Jawaban

Data Tunggal

Data merupakan hal yang sangat diperlukan untuk memberikan keterangan atau informasi yang diperoleh dari suatu pengamatan. Data dapat berupa angka, lambang, ataupun karakteristik. Data yang diperoleh sebaiknya merupakan data yang sifatnya merupakan perwakilan dari kejadian. Selain itu data juga harus objektif sesuai dengan kenyataan dan memiliki hubungan terhadap permasalahan/kejadian yang akan diselesaikan. Secara umum, dari suatu data dapat digali informasi-informasi penting sebagai pertimbangan seseorang untuk mengambil keputusan yang akan dilakukannya; misalnya, para pimpinan instansi atau pihak yang berkepentingan.

Definisi

Datum yang paling sering muncul disebut modus.


Sifat-1

Jangkauan Data = Datum tertinggi – Datum terendah = x<sub>maks</sub>– x <sub>min</sub>

Sifat-2

Sifat-3 

Sifat-4

Definisi

Misalkan x

1, x2, x3, …, xn dengan x1 ≤ x2 ≤ x3 ≤ … ≤ xn.

Desil ke-i untuk data tunggal adalah:

Penyajian Data dalam Diagram Garis (Line Diagram)

Penyajian data dalam diagram garis berarti, menyajikan data statistik dengan menggunakan garis-garis lurus yang menghubungkan komponen-komponen pengamatan (waktu dan hasil pengamatan jumlah produksi). Diagram garis biasanya digunakan untuk menggambarkan suatu kondisi yang berlangsung secara kontinu, misalnya data jumlah penduduk, perkembangan nilai tukar mata uang suatu negara, dan jumlah penjualan barang.

Gambar .Diagram garis jumlah produksi UKM di Yogyakarta

Diagram Lingkaran (Pie Chart)

Definisi


Gambar .Persentase tingkat produksi kesepuluh UKM

Penyajian Data Kelompok

Gambar .Tabel frekuensi

Menentukan frekuensi gunakanlah sistem turus (tally) untuk mencari frekuensi data


Nilai Statistik Data Berkelompok

Mean

Terdapat dua cara untuk menghitung data berkelompok yaitu:

1. Menentukan Mean dengan Rumus Mean

dengan : 

f<sub>i</sub> = frekuensi kelas ke-i 

x<sub>i</sub> = nilai tengah kelas ke-i

Langkah 1. Tentukan nilai tengah setiap kelas 

Langkah 2. Hitung hasil kali frekuensi dengan nilai tengah (fi, xi) untuk setiap kelas 

Langkah 3. Hitung mean dengan menggunakan rumus



2. Menentukan mean dengan rumus rata-rata sementara



Modus

dengan menggunakan rumus modus:

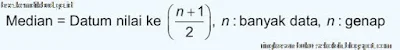
Median 

dengan menggunakan rumus median:



Demikianlah ringkasan / rangkuman dari Bab 11 Statistika, Matematika Kelas 10. Semoga dapat dimanfaatkan untuk materi pembelajaran adik-adik di waktu luangnya.


MATERI-MATERI LAINNYA : 

Bab 1 Eksponen dan Logaritma 

Bab 2 Persamaan dan Pertidaksamaan Linier

Bab 3 Sistem Persamaan dan Pertidaksamaan Linier

Bab 4 Matriks

Bab 5 Relasi dan Fungsi 

Bab 6 Barisan dan Deret 

Bab 7 Persamaan dan Fungsi Kuadrat 

Bab 8 Trigonometri

Bab 9 Geometri

Bab 10 Limit Fungsi

Bab 11 Statistika

Bab 12 Peluang



Untuk melihat barang-barang bagus dan murah silahkan cek:

Promo Produk


Komentar

Postingan Populer

Bab XIII Pola Lantai Gerak Tari Kreasi Kelas 9 (SMP/MTS) SENI BUDAYA

Latihan Soal dan Jawaban BAB IV MENGANALISIS STRATEGI PERTARUNGAN BAYANGAN OLAHRAGA BELADIRI (PENCAKSILAT) - PJOK Kurtilas Kelas 11 (SMA / MA / SMK)

BAB III Budi Daya Ikan Konsumsi Kelas 9 (SMP/MTS) PRAKARYA