Postingan Terbaru

Gunung Lewotobi Laki-laki Erupsi, Ribuan Penduduk Mengungsi

Gunung Lewotobi Laki-laki Erupsi, Ribuan Penduduk Mengungsi Gunung Lewotobi Laki-laki yang berada di Pulau Flores, Nusa Tenggara Timur, kembali mengalami peningkatan aktivitas vulkanik sejak akhir Maret 2025. Letusan yang terjadi pada 21 Maret memuntahkan kolom abu vulkanik setinggi lebih dari 8 kilometer. Akibatnya, status gunung tersebut dinaikkan ke level paling tinggi dan ribuan warga yang bermukim di sekitar lereng gunung terpaksa dievakuasi. Letusan ini merupakan bagian dari rangkaian aktivitas vulkanik yang sudah berlangsung sejak Desember 2023. Puncak letusan besar sempat terjadi pada awal November 2024 yang mengakibatkan korban jiwa sebanyak 10 orang, menghancurkan ribuan bangunan, dan membuat puluhan ribu warga harus mengungsi. Selain itu, abu vulkanik dari letusan tersebut juga berdampak pada penerbangan di Bali dan wilayah sekitarnya. Sebagai langkah antisipasi, pemerintah menetapkan zona larangan beraktivitas dalam radius 7 kilometer dari kawah. Otoritas setempat juga bere...

Bab 3 Sistem Persamaan dan Pertidaksamaan Linier - Matematika Kelas 10 SMA/MA/SMK

Ringkasan Buku Sekolah
Kelas 10 (SMA / MA / SMK)
MATEMATIKA
Bab 3 Sistem Persamaan dan Pertidaksamaan Linier


Latihan Soal dan Jawaban


Menemukan Konsep Sistem Persamaan linear Dua Variabel

Anto bermain kartu bergambar bersama temannya. Ketika mereka selesai bermain, Budi, adiknya Anto mengumpulkan kartu-kartu tersebut. Kemudian Ia asyik membangun rumah bertingkat yang diberi nama Rumah Kartu. Susunan kartu untuk setiap tingkatnya dapat dicermati pada gambar berikut.

Gambar .Rumah Kartu Bertingkat

Rumah kartu bertingkat 1 mengunakan kartu sebanyak 2 buah.

Rumah kartu bertingkat 2 mengunakan kartu sebanyak 7 buah.

Rumah kartu bertingkat 3 mengunakan kartu sebanyak 15 buah.

Rumah kartu bertingkat 4 mengunakan kartu sebanyak 26 buah.


Temukan aturan yang memasangkan banyak tingkat (t) dengan banyak kartu (k).

Cermati pola, bahwa bilangan 1, 4, 9, 16 adalah kuadrat dari bilangan 1, 2, 3, 4 dan bilangan 1, 2, 3, 4 adalah banyaknya tingkat rumah. Apakah bilangan 0, 1, 3, dan 6 dapat dinyatakan dalam t2 dan t? Misal x dan y adalah bilangan yang akan ditentukan sekaitkan dengan banyak kartu dan banyak tingkat rumah yang dinyatakan dalam persamaan berikut.

k = x t2 + y t …………………………………………. (Persamaan-a)

Untuk t = 1 dan k = 2 diperoleh persamaan x + y = 2 

Untuk t = 2 dan k = 7 diperoleh persamaan 4x + 2y = 7 

Nilai x dan y dapat ditentukan sebagai berikut: 

Evaluasi hasil yang diperoleh, apakah hasil yang diperoleh adalah solusi terbaik.


Dapat disimpulkan, aturan pengaitan banyak tingkat dengan banyak kartu yang digunakan untuk membangun rumah kartu adalah k = xt2 + yt dengan nilai konstanta 1 x dan y adalah 3/2 dan 1/2.

Tentukan banyak kartu yang digunakan membuat rumah kartu dengan 30 tingkat.


Jadi, banyak kartu yang dibutuhkan membangun rumah kartu bertingkat 30 adalah 1365 buah kartu.

Definisi 

Sistem persamaan linear adalah himpunan beberapa persamaan linear yang saling terkait, dengan koefisien-koefisien persamaan adalah bilangan real.

Definisi

Sistem persamaan linear dua variabel (SPLDV) adalah suatu sistem persamaan linear dengan dua variabel.

Bentuk umum sistem persamaan linear dengan dua variabel x dan y adalah

dengan a1, a2, b1, b2, c1, dan c2 bilangan real; a1 dan b1 tidak keduanya 0; a2 dan b2 tidak keduanya 0.

x, y : variabel

a1, a2 : koefisien variabel x

b1, b2 : koefisien variabel y

c1, c2 : konstanta persamaan

Definisi 

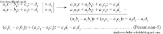
Sistem persamaan linear tiga variabel adalah suatu sistem persamaan linear dengan tiga variabel.

Notasi: Bentuk umum sistem persamaan linear dengan tiga variabel x, y, dan z adalah

Penyelesaian Sistem Persamaan Linier

Menentukan Himpunan Penyelesaian Sistem Persamaan linear Dua Variabel

Metode Grafik

Menarik garis lurus dari titik (0, 2) ke titik (2, 0) dan dari titik (0, 7/4) ke titik  ( 7/4, 0).

Gambar .Grafik persamaan linear

Berdasarkan gambar grafik x + y = 2 dan 4x + 2y = 7, kedua garis lurus tersebut berpotongan pada sebuah titik, yaitu titik (3/2,1/2).

Sehingga himpunan penyelesaian sistem persamaan linear x + y = 2 dan 4x + 2y = 7 adalah{(3/2,1/2)}.

Metode Eliminasi

Metode eliminasi yang kamu kenal di SMP sudah kita terapkan terhadap SPLDV x + y = 2 dan 4x + 2y = 7 pada langkah penyelesaian Masalah-3.1.

Nilai x dan y dapat ditentukan sebagai berikut.

Metode Substitusi

Metode Eliminasi dan Substitusi

Menentukan Himpunan Penyelesaian Sistem Persamaan Linear Tiga Variabe

bentuk umum sistem persamaan linear dengan tiga variabel x, y, dan z adalah

Langkah-1: Eliminasi variabel x dari Persamaan-1 dan Persamaan-2

Langkah-2: Eliminasi variabel x dari Persamaan-1 dan Persamaan-3

Langkah-3: Eliminasi variabel y dari Persamaan-4 dan Persamaan-5

Dari hasil perkalian koefisien variabel y pada Persamaan-4 terhadap Persamaan-5 dan hasil perkalian koefisien variabel y pada Persamaan-5 terhadap Persamaan-4 maka diperoleh

Nilai variabel z di atas dapat dinyatakan sebagai hasil perkalian koefisien-koefisien variabel x, y dan konstanta pada sistem persamaan linear yang diketahui.

Dengan menggunakan cara menentukan nilai z, ditentukan nilai x dan y dengan cara berikut.

Sistem Pertidaksamaan Linear Dua Variabel

Contoh

Jika nilai maksimum f(x,y) = x + y pada himpunan A = {x ≥ 0, y ≥ 0, x + 3y ≤ 6,3 x + y ≤ a} adalah 4, maka nilai a = …?

Penyelesaian

Misalkan f(x,y) = x + y

Pertidaksamaan-1: x + 3y ≤ 6

Pertidaksamaan-2: 3x + y ≤ a, x ≥ 0, dan y ≥ 0.

Gambar .Daerah penyelesaian untuk sistem pertidaksamaan linear x + 3y ≤ 6, 3x + y ≤ a

Mengingat gradien dari f(x,y) = x + y adalah m = –1, maka f akan mencapai maksimum di titik P. Titik P adalah perpotongan dari garis x + 3y = 6 dan 3x + y = a. Jadi diperoleh

Karena nilai maksimum f(x,y) = x + y adalah 4, maka

Dengan demikian, agar nilai maksimum f(x,y) = x + y adalah 4 maka nilai a = 10.



Untuk melihat barang-barang bagus dan murah silahkan cek:

Promo Produk


Komentar

Postingan Populer

Bab XIII Pola Lantai Gerak Tari Kreasi Kelas 9 (SMP/MTS) SENI BUDAYA

BAB IV Indonesia dari Masa Kemerdekaan Hingga Masa Reformasi - IPS Kelas 9 SMP/MTS

Latihan Soal dan Jawaban Chapter 7 It's Garbage In, Art Works Out Kelas 12 ( SMA / MA / SMK ) BAHASA INGGRIS