Postingan Terbaru

Gunung Lewotobi Laki-laki Erupsi, Ribuan Penduduk Mengungsi

Gunung Lewotobi Laki-laki Erupsi, Ribuan Penduduk Mengungsi Gunung Lewotobi Laki-laki yang berada di Pulau Flores, Nusa Tenggara Timur, kembali mengalami peningkatan aktivitas vulkanik sejak akhir Maret 2025. Letusan yang terjadi pada 21 Maret memuntahkan kolom abu vulkanik setinggi lebih dari 8 kilometer. Akibatnya, status gunung tersebut dinaikkan ke level paling tinggi dan ribuan warga yang bermukim di sekitar lereng gunung terpaksa dievakuasi. Letusan ini merupakan bagian dari rangkaian aktivitas vulkanik yang sudah berlangsung sejak Desember 2023. Puncak letusan besar sempat terjadi pada awal November 2024 yang mengakibatkan korban jiwa sebanyak 10 orang, menghancurkan ribuan bangunan, dan membuat puluhan ribu warga harus mengungsi. Selain itu, abu vulkanik dari letusan tersebut juga berdampak pada penerbangan di Bali dan wilayah sekitarnya. Sebagai langkah antisipasi, pemerintah menetapkan zona larangan beraktivitas dalam radius 7 kilometer dari kawah. Otoritas setempat juga bere...

Bab 2 Persamaan dan Fungsi Kuadrat - Matematika Kelas 9 SMP / MTS

Ringkasan Buku Sekolah
Kelas 9 (SMP/MTS)
MATEMATIKA
Bab 2 Persamaan dan Fungsi Kuadrat


Latihan Soal dan Jawaban



Persamaan t2 – 21t – 270 = 0 merupakan salah satu contoh persamaan kuadrat dan untuk menyelesaiakannya akan dibahas pada bagian ini. Secara umum persamaan kuadrat satu variabel adalah suatu persamaan yang pangkat tertingginya dua dan biasanya dituliskan sebagai ax2 + bx + c = 0 dengan a ≠ 0 dan a, b, c ∈ R. Bilangan a, b, c pada persamaan kuadrat tersebut disebut sebagai koefisien.

Akar-akar atau penyelesaian dari ax2+ bx + c = 0 adalah nilai x yang memenuhi persamaan tersebut.

Cara menentukan akar persamaan kuadrat ada tiga, yaitu:

(1) Memfaktorkan 

(2) Melengkapi Kuadrat Sempurna (3) Rumus Kuadratik (Rumus abc)

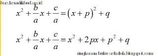
Tahap inti dari metode ini adalah memfaktorkan persamaan kuadrat ax²+ bx + c = 0 menjadi bentuk kuadrat sempurna (x + p²+ q = 0 (jika diuraikan menjadi x2 + 2px + p2 + q = 0).

Untuk bentuk kuadrat sempurna, koefisien dari x2 adalah 1 maka persamaan kuadrat yang akan diselesaikan (ax²+ bx + c = 0) harus dibagi ... supaya koefisien dari x² juga 1. Sehingga didapat persamaan kuadrat baru yang ingin diselesaikan adalah x²+ b/a .x + c/a = 0. Langkah berikutnya adalah mencari nilai p dan q sedemikian hingga memenuhi



Jadi untuk membentuk kuadrat sempurna harus dicari bilangan p dan q sedemikian hingga p = b/2a dan q = c/a - (b /2a)²


Rumus kuadratik/rumus abc



Dan nilai di dalam akar disebut sebagai diskriminan (D) yaitu

D = b² – 4ac

Nilai diskriminan ini mempengaruhi penyelesaian/akar-akar dari persamaan kuadrat.


Grafik Fungsi Kuadrat

Fungsi kuadrat merupakan fungsi yang berbentuk y = ax² + bx + c, dengan a ≠ 0.

Grafik dari fungsi kuadrat menyerupai parabloa, sehingga dapat dikatakan juga sebagai fungsi parabola.



Gambar . Perbandingan Grafik fungsi kuadrat y = x², y = –x² dan y = 2x²


Nilai a pada fungsi y = ax² + bx + c akan mempengaruhi bentuk grafiknya. Jika a positif maka grafiknya akan terbuka ke atas. Sebaliknya jika a negatif maka grafiknya akan terbuka ke bawah. Jika nilai a semakin besar maka grafiknya menjadi lebih “kurus”.



Gambar .Perbandingan grafik fungsi kuadrat y = x + 2x, y = x² – 3x + 2 dan y = –x² – 5x – 4


Nilai b pada grafik y = ax² + bx + c menunjukkan letak koordinat titik puncak dan sumbu simetri (titik puncak dan sumbu simetri dibahas lebih lanjut pada subbab selanjutnya). Jika a > 0, grafik y = ax² + bx + c memiliki titik puncak minimum.

Jika a < 0, grafik y = ax² + bx + c memiliki titik puncak maksimum.


Nilai c pada grafik y = ax² + bx + c menunjukkan titik perpotongan grafik fungsi kuadrat tersebut dengan sumbu-y, yakni pada koordinat (0, c).


Menentukan Sumbu Simetri dan Titik Optimum

Fungsi kuadrat f(x) = ax² + bx + c mempunyai sumbu simetri

x = - b/a

Dengan nilai optimumnya adalah :

y₀ = - D / 4a


Langkah-langkah mensketsa grafik fungsi kuadrat:

Langkah 1. Menentukan bentuk parabola (terbuka ke atas atau ke bawah).

Langkah 2. Menentukan perpotongan grafik terhadap sumbu-x; yaitu, koordinat titik potongnya adalah (x₁, 0) yang memenuhi persamaan f(x₁) = 0 

Langkah 3. Menentukan perpotongan grafik terhadap sumbu-y; yaitu, koordinat titik potongnya adalah (0, y₁) dengan y₁ didapatkan berdasarkan persamaan y₁ = f(0) Langkah 4. Menentukan sumbu simetri dan nilai optimum dari grafik fungsi.

Langkah 5. Mensketsa grafik fungsi kuadrat berdasarkan langkah (1), (2), (3), dan (4).


Menentukan Fungsi Kuadrat

Untuk menentukan fungsi kuadrat diperlukan beberapa informasi, di antaranya sebagai berikut.

1. Beberapa titik koordinat yang dilalui fungsi kuadrat tersebut.

2. Titik potong fungsi kuadrat tersebut di sumbu-x.

3. Titik potong fungsi kuadrat tersebut di sumbu-y.

4. Titik puncak dan sumbu simetri.

Kalau kamu suka membaca dan ingin mendapatkan buku sekolah di smartphone, kamu bisa download aplikasi android Buku Sekolah Gratis di playstore dari CTF Studio. Dengan menggunakan aplikasi ini kamu bisa membaca bukunya secara offline juga bila telah mendownloadnya atau secara online bila tidak mau menyimpan banyak data di smartphone. Bila berganti buku dan kamu ingin melanjutkan membacanya, kamu tidak perlu mencari halaman yang sebelumnya, jadi tinggal melanjutkan bacaannya saja.


MATERI-MATERI LAINNYA :

Bab I Perpangkatan dan Bentuk Akar

Bab II Persamaan dan Fungsi Kuadrat

Bab III Transformasi

Bab IV Kekongruenan dan Kesebangunan

Bab V Bangun Ruang Sisi Lengkung 


B Indonesia      Matematika      IPA      IPS      PJOK      Seni Budaya      B Inggris      PPKN      Prakarya       


Untuk melihat barang-barang bagus dan murah silahkan cek:

Promo Produk


Komentar

Postingan Populer

Bab XIII Pola Lantai Gerak Tari Kreasi Kelas 9 (SMP/MTS) SENI BUDAYA

Latihan Soal dan Jawaban BAB IV MENGANALISIS STRATEGI PERTARUNGAN BAYANGAN OLAHRAGA BELADIRI (PENCAKSILAT) - PJOK Kurtilas Kelas 11 (SMA / MA / SMK)

BAB III Budi Daya Ikan Konsumsi Kelas 9 (SMP/MTS) PRAKARYA